『编译技术』SysY-Mips编译器设计——后端代码优化
『编译技术』SysY-Mips编译器设计——后端代码优化
章节目录
- 『编译技术』SysY-Mips编译器设计——总体设计概述
- 『编译技术』SysY-Mips编译器设计——词法分析
- 『编译技术』SysY-Mips编译器设计——语法分析
- 『编译技术』SysY-Mips编译器设计——语义分析(符号表管理与错误处理)
- 『编译技术』SysY-Mips编译器设计——中间代码LLVM生成
- 『编译技术』SysY-Mips编译器设计——目标代码Mips生成
- 『编译技术』SysY-Mips编译器设计——中端代码优化
- 『编译技术』SysY-Mips编译器设计——后端代码优化
- 『编译技术』SysY-Mips编译器设计——实验总结
零. 前言
本部分任务为对Mips后端代码做出代码优化,主要是配合中端优化的后端消PHI和图着色寄存器分配。实际上,后端优化更多涉及特定的体系结构,这里实现的仅仅是冰山一角。
一. 后端消PHI
这一步说是优化,然而是LLVM经历过mem2reg优化后不得不做的一步。
消PHI即将PHI指令消去,换句话说,PHI指令的Value值应该保留,但后面的数据流应当通过Move指令消去。LLVM具备规则,对于基本块B,若其有多个前驱的基本块$B{1}, B{2}…$且$B$中存在phi指令,我们可以在$B_{i}\rightarrow B$之间添加新的基本块$B’$ ,新添加的基本块内只有一种指令,即move指令。
参照教程内思路,首先遍历全部基本块,找到入口存在phi指令基本块B(存在phi指令意味着其一定有两个及以上前驱节点),遍历其每个前驱节点$Bi$,若其拥有超过一个后继节点,则$(B{i}, B)$称作一对关键边,在这之间创建一新基本块$B’$,若$B{i}$仅有$B$一个后继节点,则后续在$B{i}$结尾进行。
创建好基本块后,遍历$B$中所有phi指令,对于 %x = phi((%b1 %v1), (...)),找到其前驱基本块b1对应的Move指令插入位置,可能是新基本块或基本块末尾,插入指令 %x = move %v1,对于phi内其他数据流同样操作即可。
如此我们通过加入大量move指令,完成了对LLVM的消PHI工作,在后续我们会尝试将move合并以缩减多余的move指令。
注:move是自己定义的假指令,对标mips里的move,其中保存两个Value记为target与source。
二. 图着色寄存器分配(核心)
mips优化中最核心的一步,经历消PHI后,我们便可以着手生成mips代码。生成时进行图着色寄存器分配优化。
在之前的阶段当中我们都假定了有无限个寄存器作为虚拟变量,而实际上mips后端的寄存器有限,经过大量摸索后寄存器分配如下:
zero, at不参与分配;v0, v1用作机动寄存器,即使用后立即释放,不会引起任何冲突,用于承接立即数与在超过两个操作数的指令中进行中间计算,同时v1还被设置用来存放图着色后溢出的节点,并立即存入内存中,这两个寄存器不参与分配;sp,fp,ra,gp寄存器用于维护堆栈,全局变量,返回地址等,不可分配;a0~a3用作函数传前四个参数,不参与分配;实际上,这四个寄存器有过考量,最终实践证明传参非常需要用来中间过渡的寄存器,否则由于传参寄存器冲突导致访存开销过大!
其余20个寄存器参与图着色寄存器分配。
1. 计算活跃变量
应用在课内学过的计算活跃变量的方法,我们以基本块为单位计算出每个基本块内全部指令in和out集。计算方法为一个基本块中由下至上由out倒推in,而基本块内最后一条指令的out集由其后继节点们第一条指令的in集的并集决定,如此迭代计算,直至每条指令的in和out集合不再变化。为减少迭代次数,可以考虑从出口节点开始遍历。如此我们计算出了多个活跃变量集合,也即是变量冲突的多个时刻。
具体而言针对每一条指令,in集等于out集加上该指令的操作数节点,再减去该指令节点,如下图算法所示:
2. 构造冲突图Build
接下来开始图着色寄存器分配,整体算法如图所示:
一个活跃变量集合里包含的元素两两冲突,彼此间都会形成一条无向边,我们在Value类内记录每个节点的邻接矩阵,遍历所有的活跃变量集合,得到冲突图,同时需要记录下move指令的两个节点,在后续可尝试合并。
冲突图代表着节点之间的冲突关系,存在边的两节点无法共用同一寄存器,我们进行启发式的图着色算法来为每个节点分配寄存器,最终目的为在生成mips之前,每个虚拟变量被分配到了有且仅有一个唯一的寄存器。
3. 简化Simplify
我们删除冲突图中度数小于$K(20)$的点,简化冲突图,将其入栈,产生更多的图着色机会,因简化步骤而入栈的节点一定可以分配到寄存器。
4. 合并Coalesce
move指令的两端节点本质相同,可进行保守式的合并,若合并后的度数总和小于K,则进行合并, 即二节点共用同一寄存器,将被合并的点彻底移除冲突图(需要记录下合并的点,为后续分配寄存器时能够得到合并点分配的寄存器),同时注意维护现有图的邻接边关系;若合并后总度数大于K,则我们不进行合并,因为合并后可能会产生新的溢出节点,得不偿失。
5. 冻结Freeze
反复执行简化和合并的步骤,直至图中节点无法改变。
6. 溢出Spill
无法合并与简化时,将度数大于等于K的结点标注为不可分配寄存器,然后从冲突图中去除,将其入栈,因溢出步骤而入栈的节点不一定能分配到寄存器。溢出节点后简化了冲突图,会暴露出更多的合并和简化机会,如此反复,直至冲突图为空。
7. 选择Select
当冲突图为空时,开始从栈中挨个取结点,重新生成冲突图,为在简化步骤时入栈的结点分配寄存器,将溢出步骤时入栈的结点置入不可分配的集合。
最后尝试将不可分配寄存器集合的结点取出尝试为其分配寄存器(由于move等原因可能存在为其分配寄存器的可能),若当真无法分配,则进行标记,将其转化为活跃范围较小的变量,并进行重新开始。
8. 重新开始Restart
如果无法进行着色的集合不为空,那么则需要改写程序,为这些变量在内存当中分配空间,并且在每次使用需要将其从内存当中取出。
这一步骤是最关键的一步,也是笔者改造最多的一步,关键在于如何理解教程中这段话:
每次修改需要存进内存当中,这种情况下,溢出的临时变量会转变为几个活跃范围很小的新的临时变量,这个时候需要重新进行活跃分析、寄存器分配,直到没有溢出和简化为止(通常只需要迭代一两次)。
冲突图中的节点有两种可能,一种是指令节点,另一种是函数的形参节点,假设某节点是溢出的节点,意味着该节点应当在出现后立刻存入内存中,将其从活跃变量流中杀死,而使用到该变量节点时从对应地址中取出,再使用。
出现:若节点是函数形参,则在函数最开始便已经出现,因此也在函数最开始添加指令,若为前四个参数则将对应的A寄存器存入内存,若为后续形参,则我们会在调用函数时处理将形参存入内存的过程,而并非在函数头执行;若节点是指令节点,则在其被赋值的时刻出现,我们需要在下一条紧接Store指令,将其存入内存当中。
而为溢出节点分配寄存器本人采取了两种方式:
- 对溢出节点作标记后重新开始:该节点被使用时不再纳入活跃变量集合中,而与之绑定的
store指令的操作数(也就是该溢出节点)仍需要纳入活跃变量集合,此时我们将该溢出节点活跃范围缩小,进而重新进行图着色分配,直至再无溢出节点。 - 将溢出节点寄存器设置为机动寄存器V1:由于溢出节点在
store后寄存器会立刻释放,不如使用机动寄存器进行转存,如此确保一趟图着色便可分配完毕,避免了重新开始的步骤,最后采用第二种方法,正确性无误。
以下是coding时一些随笔:
- 从哪取:偏移量如何设置,偏移量来自两个地方,一个是数组的声明,一个是我们放不下的虚拟变量,先装我们的虚拟变量,翻译mips时实时填入二维数组。
- 全局变量该如何记录,需不需要应急寄存器,全局变量符号出现在
Load(无需缓冲)和GTR处(涉及计算,需要缓冲),使用V1作为缓冲即可。 - 最后每一个变量都会被分配一个绝对不会产生冲突的寄存器,生成Mips时直接对照寄存器无脑灌入即可。
- 问题:即使有限次迭代可以保证分配好寄存器,但仍然存在死循环的可能性,当一个变量
V无法分配寄存器,而将其转换在前面load出来时,由于load也需要一个寄存器承接,因此即使V不作为活跃变量在寄存器内流向更前面的定义处,而在当前处(load的out)处仍存在冲突的可能性,这时需要重新开始。
9. 经过图着色寄存器分配后的结果
每一条指令Value 都唯一确定分配好了一个寄存器,而使用的Value除常数外有两种情况。
- 在寄存器里;
- 由于寄存器冲突而存在内存中,此时备注好了相对于FP的偏移,使用机动寄存器取出即可。
接下来按照指令类型翻译为mips即可,相较于优化前,这一步是轻松许多的!
10. 生成mips
整体较为eazy,有两个重点:
对溢出节点的处理:溢出节点的处理方式正是做优化前对于无寄存器可分配的
Value的处理方式。秉持上述原则,在处理地址问题便没有歧义了。对函数传参的处理:由于图着色后,形参和实参都分配好了寄存器,无可避免的会出现传递的当前形参的寄存器后续的实参还要用到,此时无法直接
move的情况,此时需要一些算法来规避影响,最为简单的方法是用一块内存空间作为缓冲,实参先存入内存中,形参再从内存中调取。然而这会产生大量存取内存指令,违背了我们优化的初衷,因此这也是为何要令$A0~$A3作为传参缓冲寄存器的理由。
三. 乘除法优化
1. 乘法优化
特判乘数是否为2的倍数,若是2的倍数可改为左移指令。
2. 除法优化
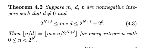
除法优化即将除法改造为乘法和右移指令。
上述公式需要满足:
- 被除数为正数
- 除数为常数且为正数
根据不等式计算出乘数m和右移量l,由于我们需要保证被除数为正数且生成指令时无从得知被除数的正负,于是尝试人为构造了if语句并创建了两个新基本块用于被除数正数和负数的情况。
3. 取模优化
使用恒等式将取模转化为乘除操作即可(a % b = a - a / b * a)。















